共计 3794 个字符,预计需要花费 10 分钟才能阅读完成。
相控阵天线等效口径估算——从 3dB 波束宽度反推(下)
我在上一篇文章中介绍了通过 G/T 指标反推等效口径的方法,其核心逻辑在于,已知系统噪声温度和 G/T,即可反推增益,进而计算等效口径。但这套方案的主要不确定性源于系统噪声温度的估算。
说到这里,我推荐第二种方法,从 3dB 波束宽度估算等效口径。这种方法剥离了对噪声温度的依赖,你只需要掌握工作频率和波束宽度,计算过程更加直接,是我们在工程现场快速评估阵面物理尺寸的常用利器。
波束宽度法与 G/T 法反推得到的等效口径在含义上略有差异,两者各司其职,互为补充。
二、抛物面天线,波束宽度与口径的关系
2.1 基本公式
对于圆形抛物面天线,当其水平和垂直两个平面的 3dB 波束角度近似相等时,波束宽度与口径直径 D 的关系遵循以下公式,
$$
\theta_{3dB}^{\circ} \approx \frac{70^\circ \cdot \lambda}{D}
$$
由此我们可以反推出口径,
$$
D = \frac{70\lambda}{\theta_{3dB}}
$$
2.2 计算示例
假设已知频率为 12.25 GHz,测得 3dB 波束宽度 \theta = 2.1^\circ,我们来计算抛物面口径。
首先算出波长,
$$
\lambda = \frac{3\times10^8}{12.25\times10^9} = 24.49 \text{ mm}
$$
进而求得口径,
$$
D = \frac{70 \times 24.49 \text{ mm}}{2.1} \approx \mathbf{81.6 \text{ cm}}
$$
为了验证准确性,我们可以对照 12.25 GHz 下不同口径抛物面的典型性能参数,
| 口径 D | 3dB 波束宽度 (系数 70) | 增益 (η=65%) |
|---|---|---|
| 0.3 m | 5.71° | 29.8 dBi |
| 0.6 m | 2.86° | 35.9 dBi |
| 1.2 m | 1.43° | 41.9 dBi |
可以看到,波束宽度每缩小一半,天线口径就会翻倍,增益随之提升 6 dB。这种清晰的规律非常适合作为快速估算的参照。
三、相控阵天线,波束宽度与口径的关系
3.1 公式推导
相控阵天线由 N 个天线阵元组成,若阵元间距为 d,则其在法向(离轴角为 0°)的 3dB 波束宽度满足,
$$
\theta_{3dB} = 2\arcsin\left(\frac{0.4429\lambda}{L}\right)
$$
我们将阵列的物理长度 L 定义为从第一个阵元中心到最后一个阵元中心的距离,即 L = (N-1)d。在工程实践中,当阵元数量较多且波束较窄(L \gg \lambda)时,我们常用 L = N \cdot d 作为物理孔径长度的近似值,此时公式可以简化。

基于此,通过 3dB 波束宽度即可反推物理孔径长度,
$$
L = \frac{0.886\lambda}{\theta_{3dB}}。
$$

上述 0.886 是均匀激励矩形口径天线的标准系数。但在实际工程中,为了压低副瓣,我们很少直接使用绝对均匀激励。正如我此前讨论过的,通过采用泰勒加权或切比雪夫加权,该系数会从 0.886 上升到 1.0 甚至更高。
当相控阵天线引入窗函数加权,3dB 波束宽度会随之变宽,此时系数的升高幅度直接取决于你对副瓣电平(SLL)的设定。副瓣压得越低,主瓣宽度增加得就越多。
| 副瓣电平 (SLL) | 波束宽度系数 (近似值) | 相比 0.886 的增宽比例 |
|---|---|---|
| 无加权 (均匀) | 0.886 | 0% |
| -20 dB | 0.95 ~ 1.00 | 约 10% |
| -30 dB | 1.10 ~ 1.15 | 约 25% |
| -40 dB | 1.20 ~ 1.25 | 约 40% |
在工程修正方面,对于切比雪夫加权,我们常用修正因子 S 进行调整,
$$
\theta_{3dB} \approx S \cdot \frac{\lambda}{L}
$$
当设定副瓣为 -30dB 时,S 的取值通常在 1.13 左右。
3.2 计算示例一,12.25 GHz,法向 4.4°
假设频率为 12.25 GHz,法向 3dB 波束宽度 \theta = 4.4^\circ(二维方形阵面)。
$$
\lambda = 24.49 \text{ mm}, \quad \theta = 4.4^\circ \approx 0.07679 \text{ rad}
$$
首先考虑均匀激励阵列,
$$
L = \frac{0.886 \times 24.49 \text{ mm}}{0.07679 \text{ rad}} \approx \mathbf{28.3 \text{ cm}}
$$
这便求得了阵面的物理边长。对应的物理面积为,
$$
A_{phys} = L^2 = 28.3^2 \approx 800 \text{ cm}^2
$$
随后,我们将物理面积乘以综合口径效率。均匀激励阵列通常取 \eta = 0.65,而采用切比雪夫加权后,\eta 会降至 0.45 到 0.6 之间。

换言之,这款波束宽度为 4.4° 的 Ku 频段相控阵天线,其等效接收能力约等于一台 0.32 m 的抛物面天线。

如果改用切比雪夫加权窗,
$$
L = \frac{1.13 \times 24.49 \text{ mm}}{0.07679 \text{ rad}} \approx \mathbf{36.0 \text{ cm}}
$$
采用同样的逻辑(假设 \eta=0.5),得到的等效圆口径直径 D_{eq} \approx 35.6 \text{ cm}。
| 分布类型 | 物理边长 L | 物理面积 Aphys | 等效圆口径直径 Deq |
|---|---|---|---|
| 均匀分布 (S=0.886) | 28.3\text{ cm} | 800\text{ cm}^2 | 31.9\text{ cm} |
| 切比雪夫加权 (S=1.13) | 36.0\text{ cm} | 1296\text{ cm}^2 | \approx 35.6\text{ cm} |
3.3 计算示例二,14.0 GHz,法向 2.4°
假设在 14.0 GHz 发射频段下,测得法向 3dB 波束宽度 \theta = 2.4^\circ。
按照均匀激励方式计算,
$$
\lambda = \frac{3\times10^8}{14.0\times10^9} = 21.43 \text{ mm}
$$
$$
L = \frac{0.886 \times 21.43 \text{ mm}}{0.04189 \text{ rad}} \approx \mathbf{45.3 \text{ cm}}
$$
$$
A_{phys} = 45.3^2 \approx 2053 \text{ cm}^2, \quad A_e = 0.65 \times 2053 \approx 1335 \text{ cm}^2
$$
$$
D_{eq} \approx \mathbf{51.1 \text{ cm}}
$$
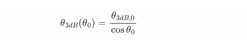
四、波束扫描时的展宽效应
相控阵天线拥有一个显著特性,波束宽度会随扫描角增大而展宽。其精确关系如下,

其中 \theta_0 代表波束指向偏离法向的角度。
| 频率 | 法向波束宽度 | 30° 扫描 | 45° 扫描 | 60° 扫描 |
|---|---|---|---|---|
| 12.25 GHz | 4.4° | 5.1° | 6.2° | 8.8° |
| 14.0 GHz | 2.4° | 2.8° | 3.4° | 4.8° |
这里有一个关键结论,利用波束宽度法估算口径时,务必使用法向数据。扫描状态下的波束宽度对应的是投影等效口径,直接使用会严重低估阵面的真实物理尺寸。
五、两种方法的完整对比
| 对比维度 | G/T 反推法 | 波束宽度法 |
|---|---|---|
| 所用指标 | G/T、频率 | 3dB波束宽度、频率 |
| 得到的口径类型 | 等效有效口径 A_e | 物理孔径尺寸 L |
| 关键不确定因素 | 系统噪声温度 T_{sys} 的估算 | 口径效率 \eta 的假设 |
| 与抛物面对比 | 直接对比等效面积 | 需折算效率后对比 |
六、总结
通过 3dB 波束宽度反推相控阵天线等效口径,核心在于先算出由物理孔径长度 L 构成的物理尺寸,再结合口径效率 \eta 转化为等效有效口径。在实际交流中,将复杂的电磁参数换算为等效圆口径直径是最高效的沟通方式。与其谈论抽象的 dB 指标,不如直接告诉用户这相当于一面多大的天线锅,这种反馈最直观、也最具备工程价值。
文章总结
本文详细介绍了如何利用 3dB 波束宽度反推相控阵天线的等效口径,深入对比了均匀激励与切比雪夫加权对波束系数及孔径估算的影响。文章强调了在工程实践中,必须基于法向波束宽度进行计算,以避免扫描展宽效应导致的尺寸低估。
通过实际计算示例,本文将抽象的相控阵天线参数转化为直观的抛物面天线等效直径,为工程师和项目管理人员提供了一种快速评估天线性能的实用工具。这种方法不仅简化了链路预算的初步评估,更在跨技术领域沟通中架起了一座直观理解的桥梁。
更多内容,请关注我的公众号“通信与导航”,主页有技术文章的分类合集,感兴趣的朋友可以查询。